logo
  • Bhora Kalan

    Gurugram
  • Call Us Anytime

    +91-8814840638
  • Admission Open 2021-22

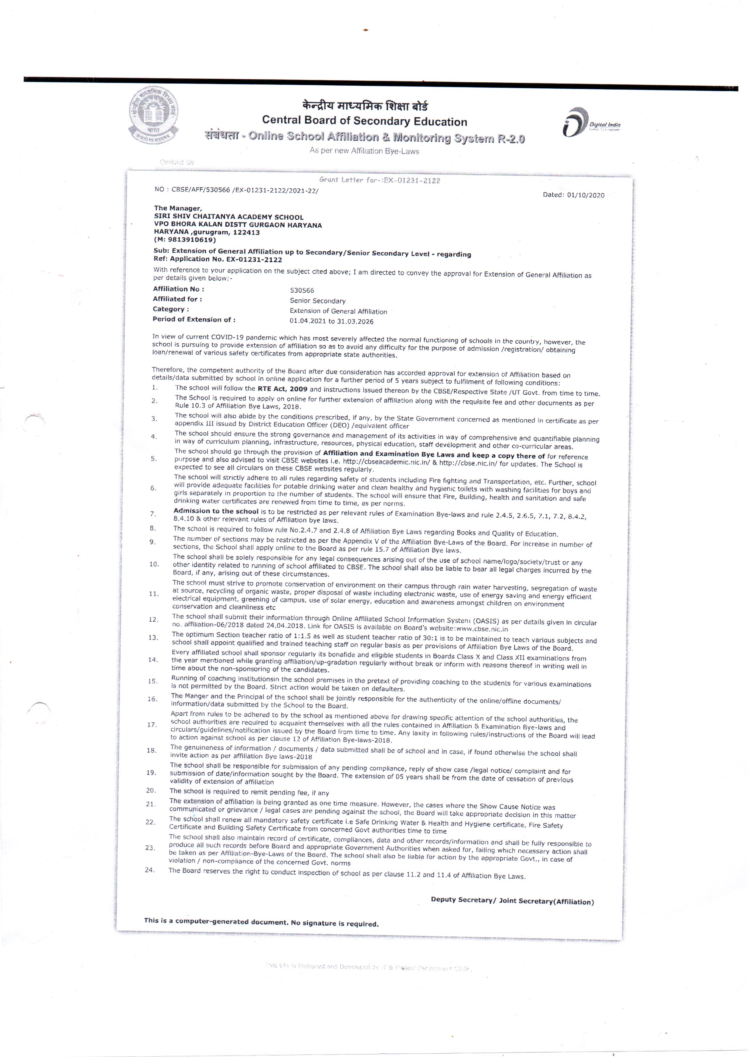
A. General Information

Sr.No Information Details
1. Name of the School SSC ACADEMY SR. SEC. SCHOOL
2. Affiliation No. (If Applicable) 530566
3. School Code (If Applicable) 40552
4. Complete Address with pin code Main Road, Bhora Kalan, Gurugram, Haryana Pin Code - 122413
5. Principal Name & Qualification Mrs. Savita Devi [M.Sc & M.Ed]
6. School Email Id sscacademy538@gmail.com
7. Contact Details (Landline/Mobile) 9813910619

B. Documents and Information

Sr.No Documents/Information Documents Upload
1. Copies of Affiliation/Upgradation letter and recent extension of affiliation. If any Click Here
2. Copies of Societies/Trust/Company registration/renewal certifiacte as applicable Click Here
3. Copy of No objection certificate (NOC) issued if applicable by the state govt/UT Click Here
4. Copies of recognition certificate under rte act. 2009 and it's renewal if applicable Click Here
5. Copy of valid building safety certificate as per the national building code Click Here
6. Copy of the DEo certificate submitted by the school for affiliation/upgradation/extension of affiliation or certification by school Click Here
7. Copies of valid water health and sanitation certificates Click Here
8. Copy of valid fire safety certificate issued by the competent authority Click Here
9. Copy of valid Land Certificate issued by the competent authority Click Here

Note: The Schools Needs to upload the self attested copies above listed documents by chairman/manager/secretary and principal in case it is noticed at later stage that uploaded documents are genuine then school shall be liable for action as per norms.

C. Result and Academics

Sr.No Documents/Information Documents Upload
1. Fee structure of the School Click Here
2. list of school managment committee (SMC) Click Here
3. List of Parents teaching association (PTA) members Click Here
4. Last three year result of the board examination as per applicablility Click Here
5. Academic Calendar as per applicablility Click Here

Result Class: X

Sr.No Year No. of Registered Students No. of Registered Passed Pass Percentage Remarks
1. 2021-22 125 124 99% No
2. 2022-23 134 132 98.5% No
3. 2023-24 126 121 96% No

Result Class: XII

Sr.No Year No. of Registered Students No. of Registered Passed Pass Percentage Remarks
1. 2021-22 103 103 100% No
2. 2022-23 130 126 96% No
3. 2023-24 140 137 97% No

D. Staff (Teaching)

Sr.No Information Details
1. Principal 01
2. Vice-Principal 01
3. Total No. of Teachers 52
PGT 18
TGT 17
PRT 17
4. Teaching Section Ratio 1:1.5
5. Details of special Educator 0
6. Details of counsellor and welness teacher 1

E. School Infrastructure

Sr.No Information Details
1. Total Campus area of the school (in square mtr) 7587
2. No. and size of the class rooms (in sqftmtr) 45 & 500
3. No. and size of laboratories including computer labs (in sq mtr) 4 & 75
4. Internet facility (Y/N) Yes
5. No. of Girls Toilets 16
6. No. of Boys Toilets 18
7. Link of youtube video of the inspection of school covering the infrastructure of the school NA



Join SSC Academy Sr. Sec. School for better future